INTRODUCTION
Wasps, apart from bees and ants, are stinging insects belonging to the order Hymenoptera. Anaphylactic reactions to hymenoptera venoms may occur in subjects with an IgE-mediated sensitisation to constituent parts of the venom. These reactions are classified in different ways according their clinical spectrum and severity 1-5, although only the Müller's classification is exclusively proposed for systemic reactions to hymenoptera stings 2. Clinical studies on anaphylaxis to wasp stings, excluding bee venom allergy, have not been reported so far. We present a study on systemic reactions to wasp sting, based on an analysis of the clinical features in connection with the age, the sex and the personal history of atopy.
MATERIAL AND METHODS
We studied 115 patients who suffered an anaphylactic reaction after wasp sting and showed specific IgE to venoms from Vespula (common wasp, yellow jacket) and/or Polistes (paper wasp), measured by the Pharmacia CAP System method (Uppsala, Sweden). Age, sex and personal history of atopy were registered for every case. Atopy was defined by IgE-mediated disorders, apart from venom and drug allergy, and proved by a positive skin prick test to airborne and/or food allergens.
All the cases were investigated about cutaneous, respiratory, cardiovascular and gastrointestinal involvement in the course of the reaction. A positive value was given to each item when at least one suggesting symptom was present. Skin symptoms included itching, generalized erythema, urticaria and angioedema. Respiratory symptoms included dyspnoea, throat swelling, hoarseness, chest constriction, stridor and wheeze. Cardiovascular involvement was supposed in case of dizziness, confusion, loss of consciousness or tachycardia were present. Gastrointestinal symptoms included dysphagia, abdominal pain, nausea, vomiting and diarrhoea.
Finally, every case was assigned a severity grade according a simple classification into two levels from the Müller's criteria. Thus, the reaction was considered mild if it was limited to grades I and II. On the other hand, the illness was considered to be severe if there were respiratory and/or cardiovascular involvement (grades III and IV of Mueller) (table I).
The statistical analysis was performed with the software SPSS for Windows (version 12).The relationships between age and symptoms, and age and severity, were assessed by the t-test. Sex and atopy were assessed for their correlation with symptoms and severity by using the chi-square test. Differences were considered statistically significant at p values of less than 0.05.
RESULTS
The mean age was 40.2 years (standard deviation: 15.9), with a range of 10 to 80 years, and a median age of 40 years. Male subjects accounted for 60 (52.2 %), and female subjects 55 (47.8 %). Twenty six patients (22.6 %) were atopic individuals. The most frequent symptoms involved the skin (n = 104; 90.4 %), followed, in order of frequency, by respiratory (n = 63; 54.8 %), cardiovascular (n = 39; 33.9 %) and gastrointestinal symptoms (n = 25; 21.7 %). Severity grading of Müller's criteria resulted in the following: 12 (10.4 %), grade 1; 34 (29.6 %), grade 2; 57 (49.6 %), grade 3; and 12 (10.4 %), grade 4. From this distribution we obtained 40.8 % of mild reactions and 59.1 % of severe reactions.
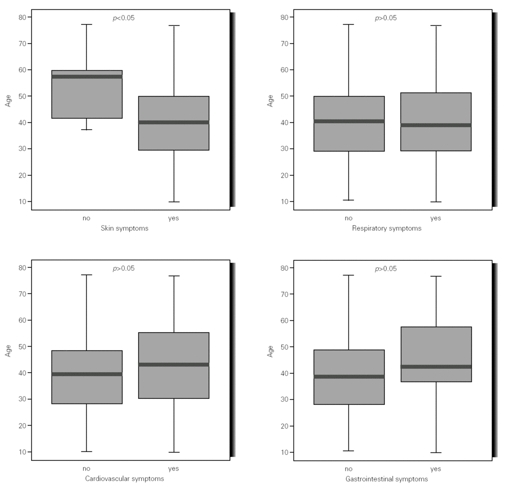
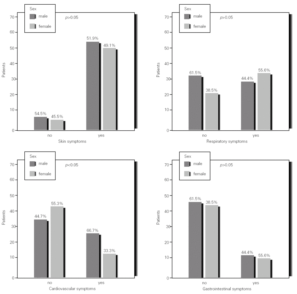
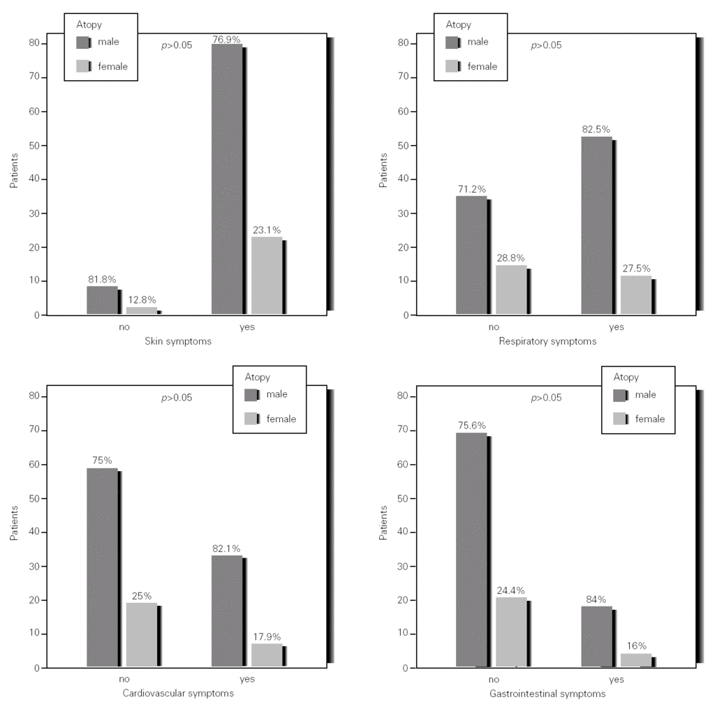
The mean age was significantly higher in the group without skin involvement (51.91 years), compared with the group with cutaneous symptoms (38.6 years), with a p value lower than 0.05. On the other hand, there were no significant differences between the mean age and the reactions with and without respiratory, cardiovascular and gastrointestinal symptoms (fig. 1). Both males and females had a similar frequency of cutaneous and gastrointestinal symptoms, whereas respiratory symptoms were more frequent in women (p > 0.05), and respiratory symptoms were more frequent in men (p < 0.05) (fig. 2). Cutaneous and gastrointestinal involvement showed a similar frequency in atopic and non-atopic individuals. Atopy was more frequent in subjects with respiratory and cardiovascular symptoms compared to non atopic subjects. Nevertheless, these results did not show and statistically significant difference (fig. 3).
Figure 1.--Boxplots summarizing age and symptoms. Each chart shows the extreme values, the quartiles (upper and lower limits of the box) and the median age (horizontal line into the box).
Figure 2.--Clustered bar charts for sex and symptoms.
Figure 3.--Clustered bar charts for atopy and symptoms.
As for the severity, the mean age was 39.8 years in the mild reactions, and 40.76 years in the severe reactions. The illness was mild in 41.7 % of men and 40 % of women, whereas it was severe in 58.3 % of men and 60 % of women. The reaction was mild in 39.3 % of non-atopics and 46.2 % of atopics, while it was severe in 60.7 % of non-atopics and 53.8 % of atopics. These results did not show and statistically significant difference.
DISCUSSION
In our study, systemic reactions to wasp sting occurred in middle-aged individuals with a slight predominance of males, as it is described in most series of hymenoptera venom allergy 6-9. The frequency of atopic individuals was comparable to the general population. Previous studies indicate that atopy is not a risk factor for systemic reactions to Hymenoptera stings 10-12. However, the sensitisation to Hymenoptera venoms has been associated with atopy-related IgE hyperresponsiveness 13,14.
The results show that the symptoms of systemic reactions to wasp venom involved the skin with a higher frequency, as it has been described for anaphylactic reactions regardless of the causal agent 5. The few reactions without skin involvement are significantly more frequent in aged subjects. This find has not been described before, and it may be of interest in further reports. The respiratory system was affected in the second place, with a higher (but not significant) frequency in females. The importance of this fact is relative, because the difference between upper and lower airways involvement was not established. Although males presented with most cases of cardiovascular symptoms, the study about cardiovascular involvement could not provide accurate results, owing to the difficulty to establish symptoms such as disorders of consciousness that may be due to a fall in the blood pressure, but also to non-specific neurological reactions. Nevertheless, they accounted for nearly 40 % of the reactions. Apart from anything else, the history of atopy does not determine differences in the frequency of system involvement. Finally, we conclude that the severity of the sting reaction is not correlated to age, sex and personal history of atopy, in accordance with previous reports 15,16.
Correspondence:
A.J. Pérez Pimiento
Servicio de Alergia
Hospital Universitario Puerta de Hierro
San Martín de Porres, 4
28035 Madrid (Spain)
Tel. (0034) 913445844
Fax.(0034) 913730535
E-mail: aperezpimiento@yahoo.es






